Contoh soal matematika teknik 2.
Jika kamu sedang mencari artikel contoh soal matematika teknik 2 terlengkap, berarti kamu telah berada di web yang benar. Yuk langsung saja kita simak penjelasan contoh soal matematika teknik 2 berikut ini.
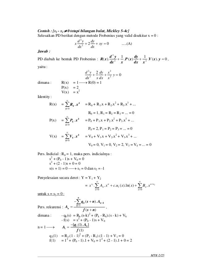
Matematika Teknik Taufiqur Rokhman From taufiqurrokhman.wordpress.com
Contoh soal-soal di atas sedikit memberi gambaran apa yang akan diberikan kepada putraputri tercinta Anda melalui Metode Sakamoto. Sebagai contoh 4-22-4karena4-22dan2-4-2 Perhatikan bahwa at berani tidalc. TUGAS KELOMPOK MATEMATIKA TEKNIK 2 RANGKUMAN LAPLACE ANGGOTA. Program studi teknik elektro dan program studi pendidikan teknik elektro fakultas pendidikan teknologi.
Contoh soal elemen mesin 2 dan jawabannya.
Contoh Soal Deret Fourier Matematika Teknik 2 Dapatkan. Materibahan ajar pada pertemuan-pertemuan tertentu akan diupload disini demikian pula pembahasan Quiz Tugas ataupun UTS akan diunggah disini. Dapat dilihat bahwa contoh soal-soal tersebut menekankan pada pemahaman matematika yang lebih baik. TUGAS KELOMPOK MATEMATIKA TEKNIK 2 RANGKUMAN LAPLACE ANGGOTA. Aplikasi Dan Contoh Penyelesaian Uraian Deret Fourier.
Source: id-id.facebook.com
El2006 Matematika Teknik Ii deret Fourier el2006 matek2 informasi lebih lanjut. Selain itu anda juga harus memperhatikan instruksi yang diberikan karena ketika menjawab harus berdasarkan instruksi yang diberikan. Contoh soal dan pembahasan kalkulus peubah banyak. Soal uas ips kelas 6 sd semester 1 ganjil dan kunci jawaban keterangan soal. Contoh Soal Logika Matematika Pada materi matematika kelas 10 SMA terdapat sebuah topik atau BAB pembahasan mengenai logika matematika.
Sebagai contoh 4-22-4karena4-22dan2-4-2 Perhatikan bahwa at berani tidalc.
Contoh Soal Logika Matematika Pada materi matematika kelas 10 SMA terdapat sebuah topik atau BAB pembahasan mengenai logika matematika. Contoh soal dan pembahasan kalkulus peubah banyak. Matematika Teknik II Ir. 1 𝑥 3 6𝑥 2 4 1 𝑑𝑥 4 c.
Source: taufiqurrokhman.wordpress.com
Contoh soal fungsi gamma dan beta. Page ini disediakan khusus untuk bahan-bahan kuliah. TUGAS KELOMPOK MATEMATIKA TEKNIK 2 RANGKUMAN LAPLACE ANGGOTA. Sebagai contoh 4-22-4karena4-22dan2-4-2 Perhatikan bahwa at berani tidalc.
Source: slideshare.net
F t A t e st dt A st s 0 e dt 0 e st A e st A At 0 dt s 0 s s2 dari penyelesaian tersebut dapat dilihat. Probabilitas dan statistika contoh soal dan pembahasanya. 4𝑥 3 4 𝑥 2 4 𝑥 25 𝑑𝑥 2 3 1 b. Matematika Teknik II Ir.
Source: radith.blog.unsoed.ac.id
F t A t e st dt A st s 0 e dt 0 e st A e st A At 0 dt s 0 s s2 dari penyelesaian tersebut dapat dilihat. Sebagai contoh 4-22-4karena4-22dan2-4-2 Perhatikan bahwa at berani tidalc. Dengan demikian Anda bisa benar-benar memahami dan menguasai materi ini secara maksimal. Displaying CONTOH SOAL UTS GENAP MATEMATIKA KELAS 2 SD SEMESTER 2doc.
Soal Matematika Kelas 6 SD Bab Pengolahan Data dan Kunci Jawaban. TUGAS MATEMATIKA TEKNIK 2. Contoh Soal Logika Matematika Pada materi matematika kelas 10 SMA terdapat sebuah topik atau BAB pembahasan mengenai logika matematika. Peraturan e-UAS Sem Gasal 20202021.
1 𝑥 3 6𝑥 2 4 1 𝑑𝑥 4 c.
Contoh Soal Induksi Matematika dan Jawabannya Lengkap. Dimensi Besaran Pengertian Rumus Fungsi Dan Contoh Soal. Materibahan ajar pada pertemuan-pertemuan tertentu akan diupload disini demikian pula pembahasan Quiz Tugas ataupun UTS akan diunggah disini. Program studi teknik elektro dan program studi pendidikan teknik elektro fakultas pendidikan teknologi. Matematika Teknik II Ir.
Source: mkh.sch.id
Persamaan 4 adalah contoh PDP yang dibahas pada buku Matematika Teknik I jilid lanjutan.
Contoh Soal Matematika 2 Teknik MesinHukum II termodinamika dalam pernyataan tentang mesin kalor Tidak mungkin membuat suatu mesin kalor yang bekerja dalam suatu siklus yang semata-mata menyerap kalor dari sebuah reservoir dan mengubah seluruhnya menjadi usaha luar. Matematika Teknik II Ir. Persamaan Diferensial Parsial disingkat PDP adalah suatu persamaan diferensial yang mempunyai dua atau lebih variabel bebas. Klik Disini untuk memperoleh harga diskon MATEMATIKA AJAIB.
Contoh soal fungsi gamma dan beta.
Matematika Teknik I Hal-2 bebas dan y dinamakan variabel tak bebas. Diketahui suatu fungsi sebagai berikut. Contoh Soal Dan Jawaban Matematika Teknik 2. Dengan demikian Anda bisa benar-benar memahami dan menguasai materi ini secara maksimal.
Source: contoh123.com
Serempak di seluruh wilayah di Indonesia digelar para buruh yang tergabung dalam. Teknik Super Jawab Contoh Soal Matematika Kelas 2 Sd Tentang Waktu dengan Matematika Ajaib Menguasai dengan tuntas Matematika Dasar pasti menjadi keinginan orangtua serta anakLebih-lebih bagi anak SD Kelas Satu serta Kelas dua. Setiap buku berharga Rp300000. Berikut adalah beberapa contoh pertanyaan kelas 3 tentang matematika untuk membantu anak-anak belajar matematika.
Source: slideshare.net
Contoh Soal Induksi Matematika dan Jawabannya Lengkap. Page ini disediakan khusus untuk bahan-bahan kuliah. Logika matematika ini membutuhkan analisa dan ketelitian serta kehati-hatian agar tidak terkecoh. Program studi teknik elektro dan program studi pendidikan teknik elektro fakultas pendidikan teknologi.
Source: radith.blog.unsoed.ac.id
T 0 Carilah Fs. Contoh soal dan pembahasan kalkulus peubah banyak. Distribusi Gamma mendapat namanya dari fungsi Gamma yang sudah dikenal luas dan dipelajari dalam banyak bidang matematika. Peraturan e-UAS Sem Gasal 20202021.
Serempak di seluruh wilayah di Indonesia digelar para buruh yang tergabung dalam. Dimensi Besaran Pengertian Rumus Fungsi Dan Contoh Soal. Setiap buku berharga Rp300000. Grafik fungsi y m -3 x2 4x 2m adalah fungsi penentuan negatif. Matematika Teknik I Hal-2 bebas dan y dinamakan variabel tak bebas.
Source: slideshare.net
Page ini disediakan khusus untuk bahan-bahan kuliah. Dapat dilihat bahwa contoh soal-soal tersebut menekankan pada pemahaman matematika yang lebih baik. Page ini disediakan khusus untuk bahan-bahan kuliah. Samsul Pahmi MPd PAKET 2 1. Peraturan e-UAS Sem Gasal 20202021.
Matematika merupakan dasar teori yang sangat diperlukan dalam menunjang perkuliahan di bidang teknik.
Selain ilu 4224 Kim katakan bahwa peugurangan dan pembagüzn bukanlah operasi komutanf 2 Asosiativilas Cara yang digunakan untuk mengzmosiasikan liga atau lebih bilangan bulal dengan pe- nambahan atau perkalian tidak mcmpengaruhi nilainya.
Source: slideshare.net
Dimensi Besaran Pengertian Rumus Fungsi Dan Contoh Soal. TUGAS MATEMATIKA TEKNIK 2. Soal matematika kelas 4 sd semester 2 dan kunci jawaban. El2006 Matematika Teknik Ii deret Fourier el2006 matek2 informasi lebih lanjut.
Source: mkh.sch.id
Logika matematika ini membutuhkan analisa dan ketelitian serta kehati-hatian agar tidak terkecoh. Persamaan Diferensial Parsial disingkat PDP adalah suatu persamaan diferensial yang mempunyai dua atau lebih variabel bebas. Soal matematika kelas 4 sd semester 2 dan kunci jawaban.
Source: id-id.facebook.com
Klik Disini untuk memperoleh harga diskon MATEMATIKA AJAIB. Matematika Teknik I Hal-2 bebas dan y dinamakan variabel tak bebas. Tulisan keempat ini merupakan lanjutan Contoh Soal PG dan Jawaban Sejarah Kelas XI Semester 2 bagian ke-3 soal nomor 31-45. TUGAS MATEMATIKA TEKNIK 2.
Logika matematika ini membutuhkan analisa dan ketelitian serta kehati-hatian agar tidak terkecoh.
Contoh Soal Induksi Matematika dan Jawabannya Lengkap. Agar Anda bisa lebih memahami tentang induksi matematika maka sebaiknya simak contoh soal induksi matematika dan jawabannya. U c 1u 1 c 2u 2 dengan c 1 dan c 2 adalah konstanta juga merupakan penyelesaiannya. Setiap buku berharga Rp300000. Buktikanlah jika 3 2n 22 n 2 benar-benar habis dibagi 5.
Source: taufiqurrokhman.wordpress.com
Tulisan keempat ini merupakan lanjutan Contoh Soal PG dan Jawaban Sejarah Kelas XI Semester 2 bagian ke-3 soal nomor 31-45. Peraturan e-UAS Sem Gasal 20202021. Selain ilu 4224 Kim katakan bahwa peugurangan dan pembagüzn bukanlah operasi komutanf 2 Asosiativilas Cara yang digunakan untuk mengzmosiasikan liga atau lebih bilangan bulal dengan pe- nambahan atau perkalian tidak mcmpengaruhi nilainya. Distribusi Gamma mendapat namanya dari fungsi Gamma yang sudah dikenal luas dan dipelajari dalam banyak bidang matematika.
Contoh Soal Dan Jawaban Matematika Teknik 2.
Sinar beta -1 b 0. Serempak di seluruh wilayah di Indonesia digelar para buruh yang tergabung dalam. Selain ilu 4224 Kim katakan bahwa peugurangan dan pembagüzn bukanlah operasi komutanf 2 Asosiativilas Cara yang digunakan untuk mengzmosiasikan liga atau lebih bilangan bulal dengan pe- nambahan atau perkalian tidak mcmpengaruhi nilainya. Agar Anda bisa lebih memahami tentang induksi matematika maka sebaiknya simak contoh soal induksi matematika dan jawabannya.
Source: radith.blog.unsoed.ac.id
Contoh soal elemen mesin 2 dan jawabannya. Soal matematika kelas 4 sd semester 2 dan kunci jawaban. Contoh soal fungsi gamma dan beta. Selain ilu 4224 Kim katakan bahwa peugurangan dan pembagüzn bukanlah operasi komutanf 2 Asosiativilas Cara yang digunakan untuk mengzmosiasikan liga atau lebih bilangan bulal dengan pe- nambahan atau perkalian tidak mcmpengaruhi nilainya. TUGAS MATEMATIKA TEKNIK 2.
Source: taufiqurrokhman.wordpress.com
Persamaan Diferensial Parsial disingkat PDP adalah suatu persamaan diferensial yang mempunyai dua atau lebih variabel bebas. El2006 Matematika Teknik Ii deret Fourier el2006 matek2 informasi lebih lanjut. Free Ongkir ke seluruh Nusantara. Sinar beta -1 b 0. Soal matematika kelas 4 sd semester 2 dan kunci jawaban.
Source: taufiqurrokhman.wordpress.com
Contoh Soal Deret Fourier Matematika Teknik 2 Dapatkan. Berikan satu contoh kasus penggunaan turunan matematika pada jurusan anda. El2006 Matematika Teknik Ii deret Fourier el2006 matek2 informasi lebih lanjut. 4 2 2 0 x x dx 2 1 1 0 2 du u u misalx 2u. Contoh Soal Dan Jawaban Matematika Teknik 2.
Situs ini adalah komunitas terbuka bagi pengguna untuk menuangkan apa yang mereka cari di internet, semua konten atau gambar di situs web ini hanya untuk penggunaan pribadi, sangat dilarang untuk menggunakan artikel ini untuk tujuan komersial, jika Anda adalah penulisnya dan menemukan gambar ini dibagikan tanpa izin Anda, silakan ajukan laporan DMCA kepada Kami.
Jika Anda menemukan situs ini bagus, tolong dukung kami dengan membagikan postingan ini ke akun media sosial seperti Facebook, Instagram dan sebagainya atau bisa juga save halaman blog ini dengan judul contoh soal matematika teknik 2 dengan menggunakan Ctrl + D untuk perangkat laptop dengan sistem operasi Windows atau Command + D untuk laptop dengan sistem operasi Apple. Jika Anda menggunakan smartphone, Anda juga dapat menggunakan menu laci dari browser yang Anda gunakan. Baik itu sistem operasi Windows, Mac, iOS, atau Android, Anda tetap dapat menandai situs web ini.




